notifications
войти
arrow

назад

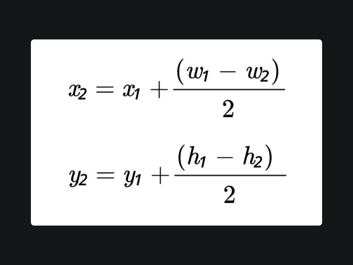
🕯 Сложнейшая проблема компьютерных наук: центрирование

Никита Прокопов собрал подборку «кривых» интерфейсов и попытался разобраться, почему так много проблем с выравниванием

Внутри: — Что нужно для выравнивания; — Проблемы со шрифтами и высотой строки; — Выравнивание иконок и шрифтов иконок; — Недостаток навыков и что делать дизайнерам.

➡️ Читать статью: https://habr.com/ru/companies/ruvds/articles/810311/

———

🍡 Открываем моти кафе: https://t.me/mochi_hi 💻 Курс по поиску работы: https://t.me/colleagueshi1_bot?start=kanal 😍 Про дизайн: https://t.me/+PURYizHnXwpmMGJi 🔥 Вакансии дизайнерам: https://t.me/+4eG0xR7W4XYwODli 🎨 Референсы: https://t.me/+ZgpNDn0QkvFkNGEy

🕯 Сложнейшая проблема компьютерных наук: центрирование
Никита Прокопов собрал подборку «кривых» интерфейсов и попытался разобраться, почему так много проблем с выравниванием
Внутри:
— Что нужно для вы... | Сетка — социальная сеть от hh.ru
repost поделиться
repost

514

input message

напишите коммент


0 комментов

еще контент в этом сообществе